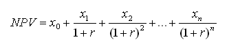
Net Present Value (NPV)  is the present value of the benefits minus the present value of the costs. Given a cash flow stream (x0,x1,x2, ... , xn)
		
		and an interest rate r per period, the present value of this cash flow stream is
		
 
		
		In another word, for a payment or cost of xn at time n, we convert the value back to curren time using interest rate r.
		
 
		NPV is one of the most important concept you need to use through out your life to make decisions. When you look at alternative decisions, you can simply rank them according to their NPV - the higher the NPV, the more desirable the alternative.
		
 
		In our previous lottery case, the government has done their home work, so basically the NPV of option (1) equals the NPV of option (2), for a given interest rate r (which usually is ~7%). For example, see CA Lottery. If you are disciplined enough (i.e. you will not waste your money on fancy vacations), you should take the lump sum. The reason being the average rate of return you can get from stock market is 7% and it is hard to beat the stock market (more on this later. People actually win Nobel Price for figuring this out). So, unless you believe you can beat the stock market and get higher return on investment more than 7%, you should take the lump sum deal.
		
 
		Above equation may looks complicated. Fortunately, like everything else, there is always a rule-of-thumb. In this case, it is called 7-10 Rule, which is our next topic.